Download App
Google Android
Apple iOS
Huawei
English
English
Malay
Guest
Login
Register
Home
Quiz
Battle
Practice
Class
Classes List
Timetable
Assignments
Learn
Learning Hub
Quick Notes
Videos
Experiments
Textbooks
Login
Register
Download App
Google Android
Apple iOS
Huawei
EN
MS
Mathematics
Practice
Mathematics
System of Linear Inequalities in Two Variables
Mathematics
Question
System of Linear Inequalities in Two Variables
0
Not quite remember
0
I easily remember
0
%
Report a Problem
×
There is something wrong with this question.
Question Text
Question Graphic
Answer Options
Incorrect Answer
Explanation Text
Explanation Graphic
Inaccurate Fact
Additional Info and Comment
Submit Report
System of linear inequalities.
A combination of two or more linear inequalities
Report a Problem
×
There is something wrong with this question.
Question Text
Question Graphic
Answer Options
Incorrect Answer
Explanation Text
Explanation Graphic
Inaccurate Fact
Additional Info and Comment
Submit Report
Three steps to determine the region that satisfies a system of linear inequalities
(a) Mark the region involved (b) Identify the common region (c) Shade the common region completely.
Report a Problem
×
There is something wrong with this question.
Question Text
Question Graphic
Answer Options
Incorrect Answer
Explanation Text
Explanation Graphic
Inaccurate Fact
Additional Info and Comment
Submit Report
Report a Problem
×
There is something wrong with this question.
Question Text
Question Graphic
Answer Options
Incorrect Answer
Explanation Text
Explanation Graphic
Inaccurate Fact
Additional Info and Comment
Submit Report
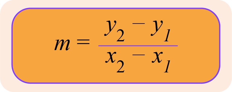
Gradient
Report a Problem
×
There is something wrong with this question.
Question Text
Question Graphic
Answer Options
Incorrect Answer
Explanation Text
Explanation Graphic
Inaccurate Fact
Additional Info and Comment
Submit Report
The graph of an inequality
Drawn in the first quadrant only because the situation involves the variables x and y which represent quantities
Report a Problem
×
There is something wrong with this question.
Question Text
Question Graphic
Answer Options
Incorrect Answer
Explanation Text
Explanation Graphic
Inaccurate Fact
Additional Info and Comment
Submit Report
> greater than < less than
≥ greater than or equal to ≤ less than or equal to
Report a Problem
×
There is something wrong with this question.
Question Text
Question Graphic
Answer Options
Incorrect Answer
Explanation Text
Explanation Graphic
Inaccurate Fact
Additional Info and Comment
Submit Report
A variable
A factor such as an element, a feature or an integer that must be taken into account in a calculation
Report a Problem
×
There is something wrong with this question.
Question Text
Question Graphic
Answer Options
Incorrect Answer
Explanation Text
Explanation Graphic
Inaccurate Fact
Additional Info and Comment
Submit Report
The highest power of a variable in a linear equation is 1
Linear equation in two variables: ax + by = c
Report a Problem
×
There is something wrong with this question.
Question Text
Question Graphic
Answer Options
Incorrect Answer
Explanation Text
Explanation Graphic
Inaccurate Fact
Additional Info and Comment
Submit Report
General form of a straight line
y = mx + c, m is gradient, c is y-intercept
Report a Problem
×
There is something wrong with this question.
Question Text
Question Graphic
Answer Options
Incorrect Answer
Explanation Text
Explanation Graphic
Inaccurate Fact
Additional Info and Comment
Submit Report
Types of regions generated on a Cartesian plane when a straight line is drawn
Not quite remember
I easily remember
Show answer
Previous
Show answer
Show question
Next
Report this flashcard
System of Linear Inequalities in Two Variables
Practice Flashcard Now
You've practice this deck
View answer
Return to the Mathematics flashcard list
Quiz
View video m
Notes
Account